Пінчук та "Юра Єнакіївський" розрахувалися з американськими лобістами
Зять колишнього президента Віктор Пінчук шукає способи впливу на ситуацію в Україні через США. Для цього він найняв на роботу офіційного американського лобіста.
"Українська правда" отримала звіти американського консультанта Дагласа Шона, якими він повідомляє Міністерство юстиції США, що задіяний як представник Віктора Пінчука на території Америки.
Перший звіт Шона до американського Мінюсту датований 19 жовтня 2011 року, де він повідомляє, що діє в інтересах "приватного бізнесмена Віктора Пінчука".
Цікаво, що Даг Шон навесні 2011 року вже залучався Пінчуком в антикризовий штаб, створений після порушення справи проти Леоніда Кучми.
Також він тривалий час входив до правління фонду Пінчука. Даг Шон позиціонує себе як "один з найбільш впливових консультантів у таборі Демократичної партії США за останні тридцять років".
Шон є партнером лобістської фірми "Penn, Schoen & Berland", і брав участь у виборчій кампанії Білла Клінтона 1996 року. Серед його клієнтів були мер Нью-Йорка Майкл Блумберг, керівник уряду Італії Сільвіо Берлусконі, а також три ізраїльських прем'єр-міністри.
На запит "Української правди" про причини залучення американського лобіста прес-служба Пінчука не дала відповіді по суті.
"Відповідь на ваші питання було надано Дагласом Шоном виданню The Hill в публікації Кевіна Богардуса від 29 жовтня 2011 року. Ми підтверджуємо коректність тверджень пана Шона", - сказано у листі, отриманому "Українською правдою" від Пінчука.
У самій публікації Даг Шон, характеризуючи контракт з Пінчуком, обмежився загальними фразами, які фігурують і в його звіті до Міністерства юстиції США: "Пан Пінчук вже давно підтримує демократизацію України та її європейську інтеграцію, і це ті основні цілі, на які спрямована моя діяльність - зараз та в минулому".
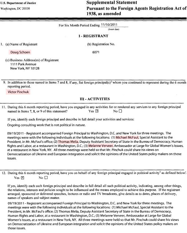
У звіті до американського Міністерства юстиції від 25 листопада 2011 року Шон інформує, що організував для Пінчука три зустрічі з американськими високопосадовцями 19 вересня 2011 року.
![]() |
Так, перша зустріч відбулася з спеціальним помічником президента США Майклом МакФолом у його офісі. Друга мала місце у вашингтонському ресторані з Томасом Меліа, заступником помічника Держсекретаря США з питань демократії, прав людини і праці.
Третя зустріч, організована Шоном для Пінчука, теж відбулася у ресторані в Нью-Йорку - за участі Мелані Вервір, спеціального посланника США з питань жінок.
Як ідеться у звіті Шона, всі три зустрічі були організовані для того, щоб Пінчук міг поділитися своїм баченням "демократизації України та європейської інтеграції" та почути думку з цього приводу американських діячів.
Цікаво, що один з трьох співрозмовників Пінчука Майкл МакФол не займався питаннями України в адміністрації Обами. Він відповідав за Росію та Середню Азію, а наприкінці 2011 року отримав призначення послом до Москви.
Водночас, як стенфордський науковець та експерт центру Карнегі, МакФол вважається одним із американських гуру в питанні демократизації країн колишнього радянського союзу – він також є співавтором книги про "Помаранчеву революцію".
Інші співрозмовники Пінчука, Томас Меліа і Мелані Вервір, протягом останніх двох років приїздили до України. До того ж, Вервір має українське коріння.
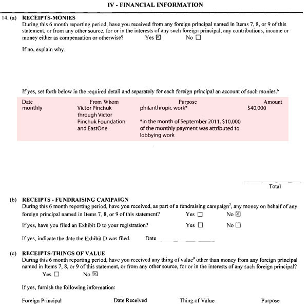
У звіті Дага Шона сказано, що через Фонд Пінчука та материнську компанію бізнесмена EastOne платня від Пінчука становить 40 тисяч доларів щомісяця. Метою перерахування цих коштів вказано "філантропія". Водночас Шон пише, що у вересні отримав 10 тисяч саме за лобістські зусилля.
![]() |
Оскільки у описі лобізму за вересень Шон вказав лише організацію зустрічей Пінчука з МакФолом, Мелією та Вервір, можна зробити висновок, що ці 10 тисяч американський консультант взяв за ці три контакти.
Таким чином, можна скласти уявлення про розцінки лобістів у США, при чому абсолютно офіційні - на відміну від України, де подібні зносини повністю перебувають у тіні.
Загалом, американська система доступу до публічної інформації дозволяє довідатися секрети, які вітчизняні політики приховують у себе на батьківщині.
Зокрема, ідеться про стару історію з отриманням американської візи депутатом Юрієм Іванющенком, який відомий також під ім'ям "Юра Єнакіївський".
Минулого року "Українська правда" писала про те, що Іванющенко знаходиться в чорному списку США, у зв’язку з чим він змушений був залучити американських лобістів для розв’язання своїх проблем.
Поведінка Іванющенка не нова – так само вчинив російський олігарх Дерипаска, який також був персоною нон-грата в Америці.
Щоб викреслити себе зі списку нев'їзних, Іванющенко найняв у США лобістську фірму Sidley Austin, про що ця компанія відзвітувала американському Міністерству юстиції.
У підсумку, Іванющенко таки зміг побувати в США протягом трьох днів (!) і лише по лінії ООН, заради чого довелося клопотати Міністерству закордонних справ України, а сам Іванющенко мав детально звітувати посольству США про час, проведений на території Нью-Йорка.
Водночас під час свого єдиного виходу в люди минулого року Іванющенко спростував закиди, що платив гроші за вирішення свого візового питання. "Жодного долару я не платив!" - заявив він журналістам у парламенті.
Але у звіті, який подав Sidley Austin до американського Мінюсту, вказано, що вони отримали 19 тисяч 888 доларів від Юри Єнакіївського за "професійні послуги, оплачені в зв’язку з правовими процедурами в США та пов’язаними справами".
Ось уривки з останнього звіту Sidley Austin від 28 жовтня 2011 року:
![]() |
При чому, у попередніх звітах в Міністерство юстиції США компанія Sidley Austin стверджувала, що договір між Іванющенком і фірмою стосується вирішення питання з його візою.
Окрім 20 тисяч доларів, Sidley Austin виставив Іванющенку рахунок на 305 доларів за телефонні розмови, ксерокопіювання та опрацювання документів.
Сам Юрій Іванющенко не відповів на запит "Української правди", надісланий йому три тижні тому, щодо транзакції на користь Sidley Austin.
Загалом же ця історія має бути наукою для тих українських політиків, які вважають, що закритість в Україні гарантує їм можливість у інформаційній темряві вирішувати делікатні питання і за кордоном.


