Сацюк ездил в Россию с 6 паспортами, оппозиция угрожает скандалом
Владимир Сацюк неоднократно покидал Украину с паспортом гражданина РФ, в том числе и в 2012 году – именно по этой причине ЦИК отказал ему в регистрации.
Об этом пишет газета "Сегодня", публикуя соответствующие документы.
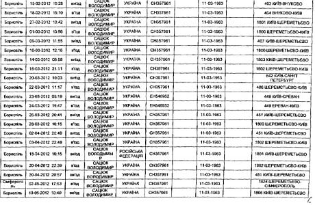
Они свидетельствуют, что экс-заместитель главы СБУ Сацюк пользовался шестью паспортами Украины и России.
Из документов видно, что 3 марта 2005 года Сацюк с украинским паспортом приезжает из России в Украину, после чего нашу страну не покидает, но в следующий раз – 5 лет спустя – снова попадает в нее из России, уже с паспортом гражданина РФ.
В последний раз Сацюк пользовался российским паспортом 18 апреля 2012 года, покидая Борисполь, а спустя два дня он вернулся в Украину уже украинским гражданином.
Лидер "Молодежной партии Украины" Анна Федорченко, по иску которой Киевский апелляционный админсуд отменил решение ЦИК о регистрации Сацюка кандидатом в депутаты по округу 62 в Житомире, рассказала, что нашла документы в интернете.
"Я нашла в открытом доступе, в интернете, документы, подтверждающие, что Владимир Сацюк был гражданином РФ", - сказала она.
"В суд было направлено заявление не потому, что у меня есть какие-то претензии к этому человеку. Дело в том, что ЦИК достаточно скрупулезно проверял документы кандидатов от партии, которую я возглавляю. Нам, посредством выписок из жэков и других инстанций, пришлось доказывать, что они живут на территории Украины, являются гражданами этой страны, а тут вот такое упущение…", - заявила Федорченко.
По ее словам, депутат от НУНС Руслан Князевич пригрозил ей по телефону устроить международный скандал, если Федорченко не заберет из суда иск о том, чтоб отказать Сацюку в регистрации на выборы.
![]() |
![]() |
![]() |
![]() |
![]() |
![]() |
![]() |
![]() |
Источники "Сегодня" утверждают, что Руслан Князевич со времен "Майдана" дружит с заместителем главы ЦИК Андреем Магерой, который теперь судится из-за решения по Сацюку.
Дядя депутата Василий Князевич в свое время курировал группу медиков, заботящихся о здоровье Виктора Ющенко после отравления, которое, как считается, произошло на даче Сацюка.
22 августа экс-заместитель главы СБУ собирает пресс-конференцию.







