Серый кардинал Януковича - невъездной в США
Yuriy Ivaniuschenko.
Клієнта з таким складним прізвищем віднині має американська лобістська фірма Sidley Austin.
Юрій Іванющенко для компанії зі Сполучених Штатів Америки – це черговий замовник їхніх послуг, про якого там навряд чи відомо, що віднедавна він – друга за впливовістю людина в Україні.
Отже, загадковий "Юра Єнакіївський" найняв у США лобістську фірму.
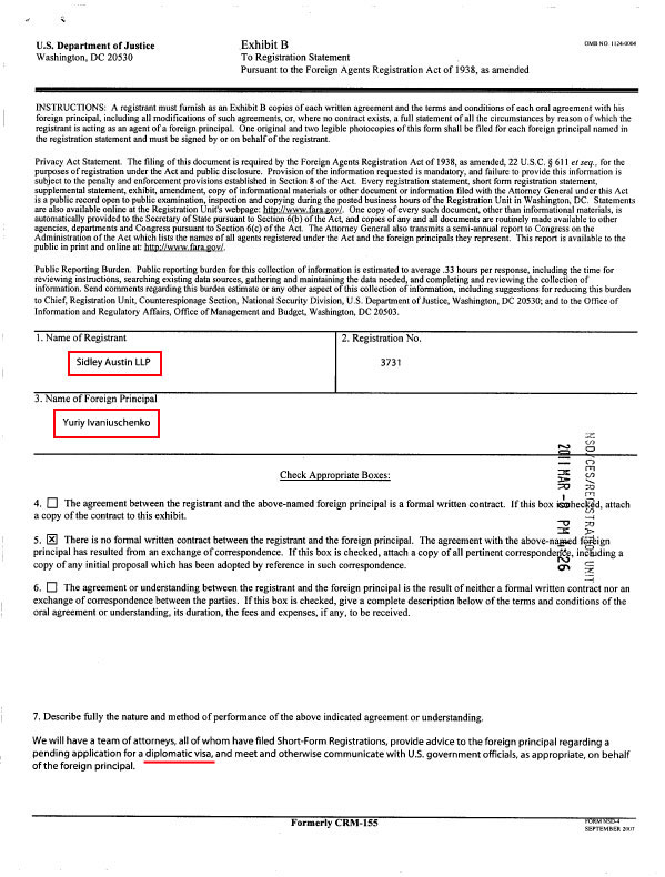
Підтвердження даної інформації "Українська правда" отримала в Мінюсті США, куди американські лобісти зобов’язані повідомляти про своїх іноземних клієнтів, в інтересах яких вони діють на території Штатів.
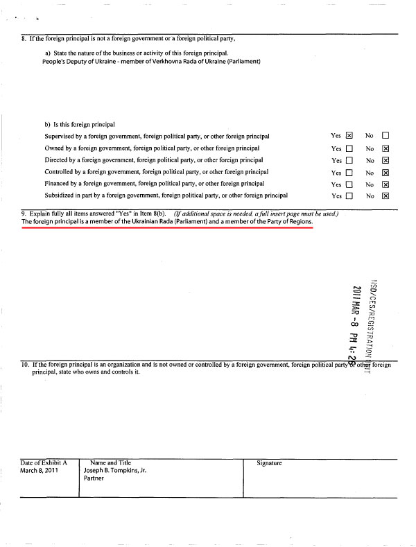
Депутат-регіонал Іванющенко законтрактував консультантів у березні 2011 року.
Звертає на себе увагу причина такого вчинку. Як виявляється, надзвичайно авторитетний у команді Януковича "Юра Єнакіївський" перебуває у американському "чорному списку" – йому заборонено… в’їзд на територію США.
Іванющенко найняв лобістів саме для того, щоб вони допомогли йому отримати американську візу.
"Команда наших юристів надає поради закордонному довірителю щодо клопотання для отримання дипломатичної візи", - звітує до американського Міністерства юстиції Sidley Austin щодо "Юри Єнакіївського".
Крім того, сказано в звіті, юристи Sidley Austin зобов'язуються від імені депутата Іванющенка "зустрічатися та в інший спосіб комунікувати з посадовцями американського уряду" для вирішення його питань.
![]() |
![]() |
![]() |
![]() |
У восьмому пункті звіту більш детально розписано, що Sidley Austin від імені Іванющенка буде готувати листування, а також особисто зустрічатися з американським чиновниками для владнання питання його візи.
Загалом, Sidley Austin є впливовою американською фірмою, яка спеціалізується на розв'язанні юридичних питань. Серед її сьогоднішніх клієнтів - уряд Ізраїлю та Рада з торгового розвитку Гонконгу.
Цікава деталь: у 1988 році юрист компанії Sidley Austin Мішель Обама познайомилася тут з Бараком Обамою, що працював у цій фірмі як інтерн протягом літніх канікул.
До звіту Sidley Austin також додається лист за підписом Іванющенка, написаний поганою англійською - взагалі є підозра, що текст просто перекладено через Google Translator.
![]() |
У листі Іванющенко пише, що йому треба потрапити до Нью-Йорка для зустрічі з високопосадовцями... МАГАТЕ. Схоже, ядерна енергетика може стати ще однією сферою інтересів "Юри Єнакіївського" - після сільського господарства, вугільної галузі, базарів та митниці.
Цікаво також, що Іванющенко просить про "дипломатичну візу". Згідно з правилами Держдепартаменту США, такий тип візи йому зможуть видати лише за наявності ноти Міністерства закордонних справ України.
Але ще цікавіше, що листом з проханням вирішити його візові проблеми Іванющенко звертається до такого собі Олега Янковича з американської компанії Jankovic & Associates Inc, яка займається посередництвом у військово-промисловій сфері.
Іншими словами, "Юра Єнакіївський" наймає лобістів у США за посередництва фірми, яка веде торгівлю озброєннями на найвищому рівні.
Тож не слід дивуватися, що ще однією сферою інтересів всюдисущого Іванющенка скоро стане і ринок військової продукції.
Шляхом Дерипаски
Наймати лобістів для отримання американської візи – це спосіб, який до цього використовував російський олігарх Олег Дерипаска. Йому також було заборонено в'їзд до США - в зв'язку з підозрами щодо його причетності до організованої злочинності.
Який розмір контракту Юрія Іванющенка з фірмою Sidley Austin, у звітах до американського Мінюсту не сказано. Але послуги ці недешеві - Дерипаска, щоб відкрити нарешті візу, заплатив юридичній фірмі колишнього сенатора Боба Доула понад півмільйона доларів.
Для звичайних людей відмова у наданні візи означає, що американські консульські працівники бачать в цій особі потенційного іммігранта.
Але для людей матеріального рівня Юрія Іванющенка такий неприємний факт має зовсім інший підтекст. Для них ненадання візи - не просто репутаційний удар. Фактично це означає, що американська влада вважає цю особу небажаною на своїй території у зв'язку з її неоднозначною репутацією.
Окрім того, відмова у візі ставить Іванющенка в один ряд з одіозними діячами. Це явно суперечить його інтересам з огляду на роль, яку "Юра Єнакіївський" грає в сьогоднішній українській владі.
Також відмова у наданні американської візи просто ускладнює життя - цей факт унеможливлює отримання британської візи та робить складнішим процес надання шенгенської.
Загалом, за словами джерел, прагнення Юри Єнакіївського отримати візу є частиною більш глобального плану. Його ціль - не просто зимові подорожі до Майамі, а намагання стати довіреною особою Януковича в контактах із американськими діловими та політичними колами.
Оскільки Іванющенко має стабільний і результативний доступ до тіла, йому це по силам - проблема лише з тим, щоб потрапити в ці самі Сполучені Штати Америки.
Факт відмови Іванющенку у візі не стали коментувати у прес-службі посольства США. "Ми не можемо ні підтвердити, ні спростувати таку інформацію з міркувань права на захист приватного життя", - зазначили в дипломатичному представництві.
У понеділок "Українська правда" також передала запит Іванющенку через його помічницю Тетяну Швець.
Крім того, автор цих рядків власноруч передав листа до штаб-квартири депутата на Рильському провулку в Києві.
![]() |
Кореспонденцію для Іванющенка приймають безпосередньо охоронці цього офісу, що чергують на вулиці. Вони повідомили, що в них немає приймальні, яка могла би повідомити, чи дасть загадковий олігарх якийсь коментар. У разі його згоди він мав передзвонити сам.
Однак протягом трьох днів Юрій Іванющенко так і не відгукнувся на наш запит.





