Сацюк їздив у Росію з 6 паспортами, опозиція погрожує скандалом
Володимир Сацюк неодноразово покидав Україну з паспортом громадянина РФ, у тому числі й у 2012 році – саме з цієї причини ЦВК відмовив йому в реєстрації.
Про це пише газета "Сегодня", публікуючи відповідні документи.
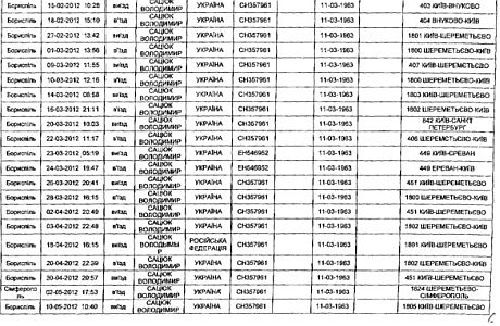
Вони свідчать, що екс-заступник голови СБУ Сацюк користувався шістьма паспортами України й Росії.
Із документів видно, що 3 березня 2005 року Сацюк з українським паспортом приїжджає з Росії в Україну, після чого нашу країну не залишає, але наступного разу – через 5 років – знову потрапляє в неї з Росії, уже з паспортом громадянина РФ.
Востаннє Сацюк користувався російським паспортом 18 квітня 2012 року, залишаючи Бориспіль, а через два дні він повернувся в Україну вже українським громадянином.
Лідер "Молодіжної партії України" Ганна Федорченко, за позовом якої Київський апеляційний адмінсуд скасував рішення ЦВК про реєстрацію Сацюка кандидатом у депутати по округу 62 у Житомирі, розповіла, що знайшла документи в інтернеті.
"Я знайшла у відкритому доступі, в інтернеті, документи, які підтверджують, що Володимир Сацюк був громадянином РФ", - сказала вона.
"До суду була спрямована заява не тому, що в мене є якісь претензії до цієї людини. Річ у тому, що ЦВК досить скрупульозно перевіряв документи кандидатів від партії, яку я очолюю. Нам, за допомогою виписок із жеків та інших інстанцій, довелося доводити, що вони живуть на території України, є громадянами цієї країни, а тут ось такий недогляд…", - заявила Федорченко.
За її словами, депутат від НУНС Руслан Князевич пригрозив їй по телефону влаштувати міжнародний скандал, якщо Федорченко не забере з суду позов про те, щоб відмовити Сацюку в реєстрації на вибори.
![]() |
![]() |
![]() |
![]() |
![]() |
![]() |
![]() |
![]() |
Джерела "Сегодня" стверджують, що Руслан Князевич із часів "Майдана" дружить із заступником голови ЦВК Андрієм Магерою, який тепер судиться через рішення щодо Сацюка.
Дядько депутата Василь Князевич свого часу курував групу медиків, які опікувалися здоров'ям Віктора Ющенка після отруєння, яке, як вважається, сталося на дачі Сацюка.
22 серпня екс-заступник голови СБУ збирає прес-конференцію.







