Самые большие транжиры парламента: БЮТовцы, сын Януковича, брат Ющенко
Народні депутати подорожують Україною безкоштовно. Це записано в законі про статус народного депутата, який обранці ухвалили для самих себе.
У державному бюджеті щороку записуються гроші на компенсацію вартості квитків, які депутат забирає в касі, а кошти перераховують авіакомпанії або залізниці.
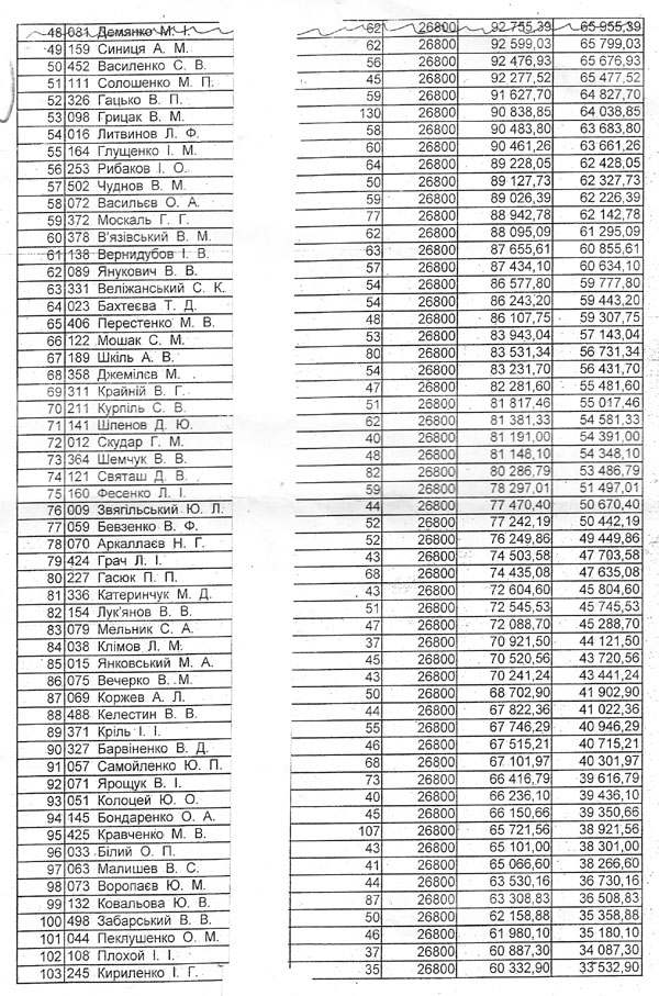
У кошторисі Верховної Ради-2010 було передбачено, що кожен з 450 депутатів має право налітати на суму, не більше ніж 26 тисяч 800 гривень на рік.
Але виявилося, що в 2010 році 173 депутати перевищили виділені їм ліміти. При чому якщо хтось на кшталт Соболєва, Коновалюка або Кінаха перевищив лише на декілька тисяч гривень, то є депутати, які перевищили ліміти в десять (!) разів.
Про це свідчить довідка про використання безкоштовних квитків депутатами протягом 2010 року, яка є в розпорядженні "Української правди".
![]() |
![]() |
![]() |
![]() |
Найбільше налітав минулого року БЮТівець Андрій Сенченко - на суму 295 тисяч гривень за норми 26 800 гривень.
При цьому Сенченко відкинув усі звинувачення і каже, що регламентний комітет парламенту щось не те нарахував.
"Просто не може бути 200 разів! У нас 52 тижні у році, відповідно 52 польоти в один бік і 52 – в другий", - сказав він у сюжеті ТСН.
Другий у списку - Олег Радковський з БЮТ. Він налітав на 211 тисяч при ліміті 26 800.
Третій - Василь Горбаль з Партії регіонів. Він використав 203 тисячі гривень на перельоти, при чому більшу частину року Горбаль суміщав роботу депутатом з посадою губернатора Львівської області.
Четвертий серед марнотратів - Михайло Соколов також з БЮТ. Він налітав на 192 тисячі при дозволених 26 800 гривень.
П'ятий - Олександр Рябека, який теж представляє блок Тимошенко. Транспорті послуги, надані йому, коштували бюджету 178 тисяч гривень.
Син президента Віктор Янукович-молодший налітав на 87 тисяч гривень при ліміті в 26 800.
Брат колишнього президента Петро Ющенко за того ж ліміту примудрився витратити на польоти 144 тисячі 526 гривень.
Деякі депутати використали менше грошей, але літали частіше. Наприклад, регіонал Дмитро Шенцев подорожував протягом минулого року 139 разів. Його колега регіонал Павло Корж скористався безкоштовним квитком 185 разів.
Але пальма першості в цьому рейтингу також за БЮТівцями.
Так, Сенченко скористався безкоштовним транспортом 200 разів, а Радковський - 244 рази!
Інший депутат від БЮТ Іван Денькович, який злітав у Львів на 122 тисячі гривень, сказав, що не рахує кількість своїх перельотів на рік.
"Регіонал" Владислав Забарський, який налітав 162 тисячі 158 гривень, зізнався, що йому не соромно за таку суму.
"Коли я літаю у своїх особистих справах, я завжди плачу сам. Це принципово. Якщо хтось вважає, що це були непотрібні польоти, я це відшкодую", - сказав він.
У регламентному комітеті "Українській правді" пояснили, що ліміти 26 800 гривень на рік для кожного депутата обґрунтовані.
"Депутати працюють 10 місяців на рік. Щомісяця один тиждень відведено депутату для роботи в округах. Таким чином, 10 разів на рік депутат має злітати в округ і назад. Для кожної такої подорожі 2 680 гривень більш ніж достатньо", - зазначив співрозмовник "Української правди".
У разі, якщо депутат перевищив свій ліміт 26 800 гривень, покарання за це він не несе. Витрати все одно будуть компенсовані авіакомпаніям коштом платників податків.



