Міноборони змінило ціни на продукти в армії: яйця вже не по 17 грн

Міністерство оборони опублікувано оновлені договори по закупівлю продуктів для армії, згідно з якими, послуга із забезпечення харчування складатиме від 137 до 144, гривень, терміни контрактів зменшили, а ціни на продукти знизилися. Зокрема яйця коштуватимуть – 8-9 гривень.
Джерело: пресслужба Міноборони
Дослівно: "Для дотримання прозорості закупок та доступу до інформації та публікації звітів щодо закупок послуг з організації харчування ЗСУ... 20 лютого 2023 року були внесені зміни до 8 договорів, відповідно до яких зменшено термін дій угод і, відповідно, внесені зміни до вартості послуги з організації харчування та ціни в каталозі продукції.
Вартість послуги з забезпечення харчування склала від 137,04 грн до 144,06 грн. Зниження цін було зумовлене зменшенням термінів контрактів, що позбавило постачальників враховувати інфляцію та інші ризики.
Ціни на продукти, які закуповує постачальник, враховують логістику".
Деталі: Міноборони повідомляє, що закуповує не лише самі продукти, а й послуги з "приймання, зберігання, переміщення, освіження запасів продовольства, видачу продуктів харчування, їх облік, приготування страв у стаціонарних та польових умовах, забезпечення техзасобів приготування їжі паливом, підтримання їдалень і складів, обладнання та майна в належному стані та їх техобслуговування, відшкодування комунальних витрат" і т.д.
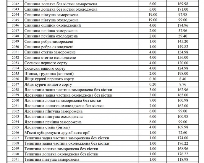
Зокрема, ціна яєць становитиме 8-9 гривень в залежності від сорту (першого чи вищого), макаронних виробів – від 35,70 до 42,30 грн за кілограм.
Ціна за кілограм картоплі свіжої – від 12,60 до 17,70 грн, кілограм картоплі свіжої ранньої – від 16,90 до 40 грн, а куряче стегно – від 90,96 до 108 грн за кілограм.
Зазначимо, що після розслідування особливого розголосу набула інформація про "курячі яйця за 17 гривень": у розслідуванні журналістів йшлося про ціну за штуку.
За словами міністра оборони Олексія Резнікова, ціни на яйця у 17 грн за штуку це "звичайна технічна помилка, яку зробив постачальник" – мовляв, він вказував ціну за вагу яєць, а не за штуки.

Також у Міноборони повідомили про створення Міжвідомчої робочої групи під головуванням першого віцепрем'єра Юлії Свириденко з питань вивчення нових підходів до закупівлі продуктів для Міноборони з використанням е-системи закупівель.
Ця група опрацьовує питання оновлення системи, щоб збалансувати дотримання секретності та публічний контроль за закупівлями для армії.
Інформація буде публікуватись без відомостей щодо номерів військових частин, їх місце розташування та кількості особового складу.
Знати більше: Від вертольотів у Мексиці до їдальні в Костянтинівці. Що приховують силовики у гучних справах про корупцію в Міноборони
Передісторія:
- Видання ZN.ua 21 січня повідомило, що Міноборони закуповує харчі для військовослужбовців дорожче у два-три рази, ніж у магазинах Києва. Грудневу угоду з "Актив компані" від імені міністерства підписав Богдан Хмельницький, який фігурував у справі про розкрадання 580 тисяч доларів під час закупівлі військової амуніції.
- Особливого розголосу набула інформація про "курячі яйця за 17 гривень": у розслідуванні журналістів йшлося про ціну за штуку, хоча в документі фігурувала ціна за 100 грамів.
- Міноборони назвало інформацію про задорогі харчі введенням в оману та маніпуляцією та обіцяло звернутися до СБУ, а міністр оборони Олексій Резніков відкинув звинувачення до Міноборони. Пізніше в інтерв'ю "Українській правді" Резніков визнав, що був занадто емоційний та обіцяв ретельно перевірити всі факти, виявлені журналістами.
- Заступник міністра оборони В’ячеслав Шаповалов подав у відставку і був звільнений 24 січня на фоні скандалу через закупівлі за завищеними цінами продуктів для військових. Було звільнено і Богдана Хмельницького з посади директора департаменту закупівель Міністерства оборони, про що стало відомо 25 січня.
- Прем'єр-міністр Денис Шмигаль доручив оновити систему державних закупівель для Збройних сил України, яка передбачатиме публікацію цін на продукти й товари.